Prep - W7 - Physics II - FS24

Photo by Jeremy Bishop on Unsplash
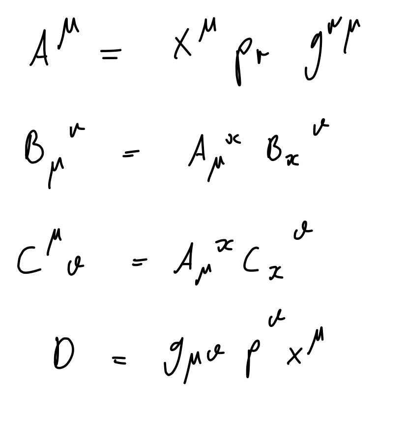
$\newcommand{\dede}[2]{\frac{\partial #1}{\partial #2} } \newcommand{\dd}[2]{\frac{d #1}{d #2}} \newcommand{\divby}[1]{\frac{1}{#1} } \newcommand{\typing}[3][\Gamma]{#1 \vdash #2 : #3} \newcommand{\xyz}[0]{(x,y,z)} \newcommand{\xyzt}[0]{(x,y,z,t)} \newcommand{\hams}[0]{-\frac{\hbar^2}{2m}(\dede{^2}{x^2} + \dede{^2}{y^2} + \dede{^2}{z^2}) + V\xyz} \newcommand{\hamt}[0]{-\frac{\hbar^2}{2m}(\dede{^2}{x^2} + \dede{^2}{y^2} + \dede{^2}{z^2}) + V\xyzt} \newcommand{\ham}[0]{-\frac{\hbar^2}{2m}(\dede{^2}{x^2}) + V(x)} \newcommand{\konko}[2]{^{#1}\space_{#2}} \newcommand{\kokon}[2]{_{#1}\space^{#2}} $ ## Motivation Diese Woche habt ihr gelernt: - Wie man einen Kondensator auflädt - Was ein 4er Vektor ist - Was eine Weltlinie ist - Wie wir uns mühsame Summen Sparen können - Wie sich ko und kontravarianz in der Physik ausdrücken - Wie man eine Uhr baut (als theoretisch Physiker) ## Repetition Unterricht ### 4er Vektoren (eine neue Dimension der Physik!) 4er Vektoren scheinen oft relativ (badum tsss) unintuitiv. Wie soll ich mir ein 4d Objekt vorstellen? Jedoch ist diese verwirrung eigentlich nur Notationell. Stellt euch die folgende Situtation vor: Ihr möchtet mit euren Kollegen am Nachmittag zusammen lernen. Wie beschreibt ihr dieses Treffen? Bsp: Lass um 15:30 im HCI im J stock im linken Gang, erstes Zimmer Wie viele ‘Stücke’ an Information habt ihr hier ausgetauscht? 1. Wann 2. In welchem Stock 3. Welcher Gang 4. Welches Zimmer Etwas Mathematischer: 1. t 2. z 3. x 4. y Wenn wir das alles schön zusammenfassen erhalten wir den 4er Vektor von diesem Ereignis: $x^{\mu}= \begin{pmatrix} t \\ x \\ y \\ z \end{pmatrix}$ __infobox__ Die Hauptmotivation für 4er Vektoren ist die Beschreibung von nicht nur Orten, sondern Orten zu einer bestimmten Zeit. Aka Ereignissen oder Events. __endinfobox__ Übrigens: In der Physik haben wir effektiv *immer* implizit mit 4er Vektoren gerechnet. $x^{\mu}(t) = \begin{pmatrix} t \\ x(t) \\ y(t) \\ z(t) \end{pmatrix}$ ### Weltlinien Wir betrachten einen altem Film (mit Fimrolle). Auf jedem Bild sehen wir einen Moment (ein definiertes $t$). Wenn wir die Bahn eines Objektes im Film anschauen, so ergibt am meisten Sinn, wenn der Film tatsächlich abgespielt wird. Wir können die Bahn jedoch auch anders betrachten: Wir nennen diese Linie die Weltlinie. Für 2D Szenen ist die Weltlinie relativ anschaulich. Für 3D wird’s etwas komplizierter…. Glücklicherweise, werden wir in Physik II nur 1D oder 2D Szenarien betrachten. Die anderen Dimensionen lassen wir dann einfach weg. __infobox__ Weltlinien sind die Abfolgen von ‘Ereignissen’ die einem Objekt zustossen. Insb. ist in der Weltlinie eines Objektes seine gesamte Vergangenheit und Zukunft gespeichert. __endinfobox__ ### Einstein Summenkonvention In SR werden oft Summen vom folgenden Typ verwendet: $\sum\limits_{i=0}^{3}a_{i}b^{i}$ Da sowieso klar ist wie viele Dimensionen $a$ und $b$ haben wird oft die Summe weggelassen. $a_{i}b^{i}$ Mithilfe von den Indizes wird aus dem Kontext klar wie wir die Summe bilden müssen. Wir nennen dieses Summen bilden oft auf *kontraktion*. #### LinAlg (again) Was genau bedeutet eine Summe wie oben? Achtung ich verwende hier nicht skript konforme notation für $a$ und $b$. Korrekter wäre $\vec a \to a_{\mu}$ und $\vec b \to b^{\mu}$ Betrachtet: $\vec a = \begin{pmatrix} a_t & a_x & a_y & a_z\end{pmatrix}$ $\vec b = \begin{pmatrix} b_t \\ b_x \\ b_y \\ b_z \end{pmatrix}$ $a_{1}b^{1} = a_{x}b^{x}$ $a_{2}b^{2}=a_{y}b^{y}$ … Die Summe davon ist einfach die Matrix multiplikation! (Oder das dot product von $\vec a^{T}$ und $\vec b$) Wir sehen nun auch den Vorteil von der ‘Beinchen heben, Beinchen Senken’ notation. In meiner $\vec a$ notation, habt ihr von aussen gesehen keine chance zu wissen, ob dies ein Zeilen oder ein Spaltenvektor ist. Mirhilfe des $\mu$ kann ich anzeigen ob ich einen Vektor, oder eine Linearform betrachte. #### Warum nicht einfach das Dotproduct? Wir haben gesehen dass $a_{i}b^{i}$ eigentlich nur $a \cdot b$ ist. Warum also mühen wir uns mit einer neuen Notation ab? Turns out diese notation ist (fast) nicht neu! Erinnerung Linlag: Wir können eine Matrix schreiben als $\{a_{i,j}\}_{i,j}$ In Linalg haben wir dann oft mit den indizes separat herumgespielt (z.B.) als wir gezeigt haben, dass $det(AB) = det(BA)$ ist. Wir können nun auch Matrixmultiplikation in unserer Notation betrachten $a^{T} M b = a_{i} M\konko{i}{j} b^{j}$ Cool daran ist, dass $a_{i}, M\konko{i}{j} ,b^{j}$ nun allen $\in \R$ sind. Insb kann ich diese also auch permutieren. Bsp: Beweis $tr(AB) = tr(BA)$ $C\konko i k = A \konko i j B \konko j k$ $tr(A\konko i j B \konko j k) = \sum\limits_{l}C_{l,l} = A \konko l j B \konko j l = B \konko j l A \konko l j = tr(BA)$ #### Der Rechenapparat 1) Suche alle passenden indizes. (es sollte immer 1 oben/kon und eins unten/ko sein). Diese indizes nennen wir Blind, da sie nur im innern vorkommen (sie sind die Summen indizes) 2) Suche alle indizes, die einzeln vorkommen. Dies sind die richtigen indizes, diese ‘Sehen’ wir von aussen. Es sind die indizes, welche wir benutzen um die entstandene Matrix/ den entstandenen Vektor zu indexieren. 3) Ordne (wenn möglich) die symbole sd. die indizes zusammenpassen:   1) $M\konko i j a_{i} b^{j} \to a_{i}M\konko i j b^{j} := a^{T}M b$   2) $M \konko i j N \konko k i \to N \konko k i M \konko i j = C_{k,j}$ 4) Rechne gewohnt Linalg 5) Überführe zurück in Indexnotation #### Tricks: 1) Nur ko und kon können kontrahiert werden. Bsp: $\vec a \vec b$ ergibt keinen Sinn (deswegen brauchen wir das Dotproduct: $\cdot : a \cdot b \to a^{T}b$) 2) Die Anzahl richtiger indizes gibt den Rang des Tensors (0 -> zahl, 1 -> Vektor, 2 -> Matrix) 3) Kovariante indizes ‘fressen’ kontravariante und umgekehrt   1) Eine Matrix vom typ $M\konko i j$ frisst einen kontravarianten Vektor (mit j) und spuckt einen kontravarianten Vektor (mit i) aus.   2) Eine Matrix vom typ $g\koko \mu \nu$ frisst einen kontravarianten Vektor (mit $\nu$) und spukt eine kovariante linearform (mit $\mu$) aus. (Die Metrik hilft mir einen Vektor zu einem Masstab zu wechseln!) ## MC ### Q1: